2024 -05
一、產品特征
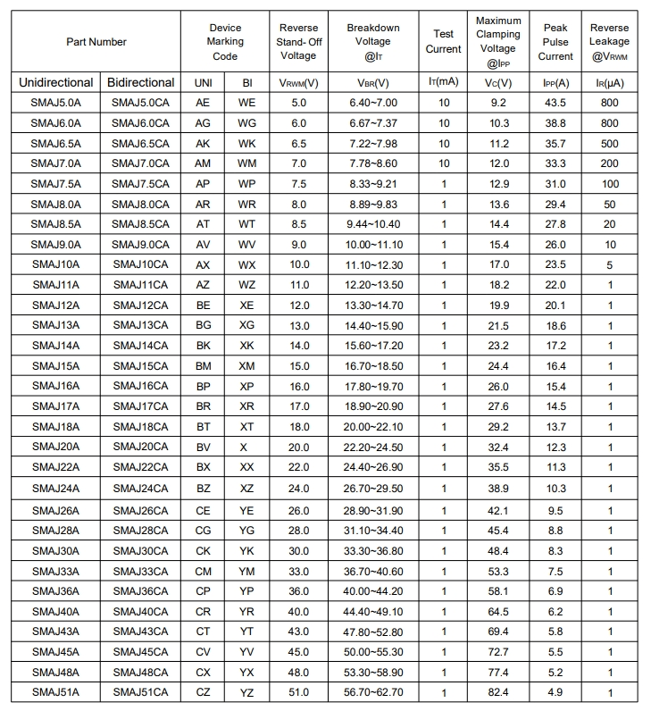
SMAJ6.8CA靜電和浪涌保護(TVS/ESD)器件是電子元件領域中的重要代表之一。作為一款高性能雙向TVS瞬態抑制二極管,它專為高效防護而設計。SMAJ6.8CA具有5.8V的額定反向工作電壓VRWM和可承受高達39A的峰值脈沖電流IPP,這使其能夠快速響應,保護您的電路免受瞬態浪涌、靜電放電和過壓沖擊的損害。在電子元件市場中,SMAJ6.8CA的地位舉足輕重,其在保護敏感電子設備方面的重要性不可低估。
二、技術規格參數
SMAJ6.8CA的技術參數十分引人注目。采用SMA封裝,具備雙向TVS設計,保證了其高效防護能力。額定反向工作電壓VRWM為5.8V,而峰值脈沖電流IPP可達39A,具有出色的抑制能力。快速響應的特性使得SMAJ6.8CA能夠迅速保護電路,避免損壞,是敏感電子設備的理想選擇。

三、工作原理及應用
1.工作原理
SMAJ6.8CA靜電和浪涌保護器件的工作原理基于TVS/ESD保護器的基本原理。當外界出現靜電放電或浪涌電壓時,SMAJ6.8CA會迅速導通,將過電壓瞬時吸收并分散,保護電路中的敏感器件免受損壞。
2. 實際應用場景
① 通信設備保護
在通信設備中,SMAJ6.8CA常用于保護輸入輸出接口、天線端口等,有效抑制雷擊和靜電放電等電磁干擾,保障設備穩定運行。
② 工控系統防護
在工業控制系統中,SMAJ6.8CA可用于防止電源線、通信線等受到外部干擾,保證系統的可靠性和穩定性。
四、結論
總之,兆信半導體(MXsemi)的SMAJ6.8CA靜電和浪涌保護器件以其高效防護能力和穩定可靠性成為電子元件領域的重要組成部分。在面對瞬態浪涌、靜電放電和過壓沖擊等問題時,SMAJ6.8CA能夠迅速響應,保護敏感電子設備免受損壞。作為電路保護的利器,它在各類電子設備中都有著重要作用,為電子產品的穩定運行提供了有力的支持。
兆信半導體(MXsemi)專注于高品質電子元器件的制造,包括二極管、三極管、MOS管、ESD管、LDO管等。兆信工廠直銷的模式能為客戶節省高達20%的成本,產品已被上萬家電路及電器制造企業信賴使用。
公司傳承于世界先進的設計理念,匯集了一支擁有近30年經驗的工程師團隊,傾力打造獨具匠心的Mxsemi品牌。若您在物料選型、國產替代或方案優化上需要技術支持,歡迎通過以下方式與兆信聯系。
聯系方式:19129509442 QQ: 2885743512
未能查詢到您想要的文章
2024-05-17
2024-05-16
2024-05-16
2024-05-16
2024-05-16
2024-05-16
2024-05-16
2024-05-16
2024-05-16
2024-05-15